CLUB ADMIN
Find pre-match information, rules, how to prepare for fixtures and FA downloads.
Referees are appointed by the home team and fees due are paid immediately after the match.
THE ESSENTIALS
PLAYER ELIGIBILITY
A child who has not attained the age of 6 shall not play, and shall not be permitted or encouraged to play, in a match of any kind. The relevant age for each Player is determined by his or her age as at midnight on 31 August of the relevant Playing Season i.e. children who are aged 6 as at midnight on 31 August in a Playing Season (together with those who attain the age of 6 during the Playing Season) will be classed as Under 7 Players for that Playing Season.
A Player is one who, being in all other respects eligible, has registered through the FA Club Portal and whose request for league approval has been submitted by 10.00pm on the Thursday prior to playing.
If a Club attempts to register a player via the FA Club Portal but does not fully and correctly complete the necessary information on the system, the registration will not be processed. The registration document must incorporate a current passport-size photograph with confirmation that the Player’s proof of date of birth has been checked by the Club and is accurate.
2
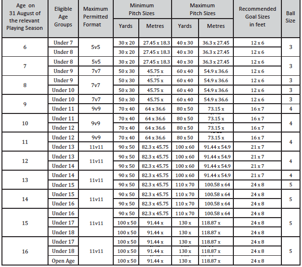
FORMATS
Our formats for 2025/26 (all on Saturdays) are:
- U7,U8: 5v5
- Combined U7/U8 girls: 5v5
- U9,U10: 7v7
- U11, U12: 9v9
- U13, U14, U15, U16, U18 : 11v11
Each Team must have the following number of Players registered by 1 August before the start of each playing season:
- 5v5: 5 minimum
- 7v7: 7 minimum
- 9v9: 9 minimum
- 11v11: 11 minimum
3
FIXTURES
All fixtures are published on The FAs Full-Time system. At present kick-off times are between 9.30am and 12.30pm on Saturdays and can only be altered by the mutual consent of the two competing Clubs prior to the scheduled date of the Competition Match with written notification given to the Competition prior to the scheduled date of the match.
An Officer of the home Club must give notice of full particulars of the location of, and access to, the Ground and time of kick-off to the Match Officials and an Officer of the opposing Club by 6.00pm on the Tuesday prior to the playing of the match. The details to be provided shall include:
- Full address, location and postcode of the ground (if known)
- Time of kick-off
- Manager’s name and contact number (in case of problems on match day)
- Club colours
The home Team must provide goal nets, corner flags and at least two footballs fit for play and the referee shall make a report to the Competition if the footballs are unsuitable.
The minimum number of Players that will constitute a Team for a Competition Match is as follows:
- 5v5: 4 minimum
- 7v7: 5 minimum
- 9v9: 6 minimum
- 11v11: 7 minimum
4
REPORTING RESULTS
Both Clubs shall notify the result of each Competition Match by text by 6.00 pm on the date of
the match.
For texting results you must have your mobile number registered against your profile on WGS:
- All results are submitted by answering the automated text message sent from the FA Full-Time system.
- On the day of each match, the Full-Time system will send an SMS Text Message to the registered contacts of the home and away team.
- Both teams must reply to the text with the result ONLY in the following format: home team score - away team score.
- So, if the match ends in a 3-1 win for the away side, both teams should respond to the text as follows: 1-3
- IT IS IMPORTANT THAT NOTHING ELSE IS ADDED, AS OTHERWISE THE SYSTEM WILL NOT BE ABLE TO PROCESS THE RESULT CORRECTLY.
- If the match is postponed, both teams should respond P-P. If the reason for the match not being played is anything other than an unplayable pitch, both teams should email the League Secretary to explain why the game was not played.
The Competition and Clubs are permitted to collect but NOT publish results or any grading tables for fixtures involving Under 7s, Under 8s, Under 9s, Under 10s, and Under 11s.
7
POSTPONEMENTS
For teams at U11 and below
Where a team is unable to fulfil a fixture because of lack of availability of its players, it must inform both the opposition and the U7-U11 Fixture Secretary
as soon as possible, so that the league has the opportunity to arrange an alternative fixture.
Where notice is given by a Club to the league later than 7.00pm on the preceding Sunday, of a team’s inability to fulfil a fixture, the Club may be fined £10 and the match may be referred to the Management Committee for review. If a particular team infringes this rule on more than one occasion in the season, the fine may be increased, to £20 on the second occasion and by a further £10 on each subsequent occasion.
For teams at U12 and above
Where a team is unable to fulfil a fixture because of lack of availability of its players, it must inform both the opposition and the U12-U18 Fixture Secretary
as soon as possible, so that the league has the opportunity to arrange an alternative fixture.
Where notice is given by a Club to the U12-U18 Fixture Secretary prior to 7.00pm on the Sunday two weeks prior to the scheduled date of a fixture of a Team’s inability to fulfil a fixture, the fixture will be rescheduled. Each Team will be allowed a maximum of 3 opportunities in a Season to request no fixture on a given date.
Any Team or Club who advises the Fixture Secretary later than the later of (a) 7.00pm on the Sunday two weeks prior to the scheduled date of the match and (b) 48 hours after they have been notified of the match by the Fixture Secretary, of their inability to fulfil the said fixture, the game shall be awarded to their opponents and they may be further dealt with by the Management Committee under Rule 20(E)(i).
REFEREES
1
PROCESS
EEYFL do not allocate referees, this is the responsibility of the home team to appoint a suitable referee and inform the opposition.
Individuals under the age of 16 must not participate either as a referee or assistant referee in any open age competition and individuals under the age of 14 must not participate either as a referee or assistant referee in any Competition Match. Referees between the ages of 14 and 16 are only eligible to officiate in competitions where the Players’ age band is at least one year younger than the age of the referee, for example a 15 year old referee may only officiate in competitions where the age banding is 14 or younger.
2
REFEREE FEES
Match Officials will be paid their fees (listed below) and/or expenses by the home Club immediately after the Competition Match. In the event of a Competition Match not being played because of circumstances over which the Clubs have no control, the Match Officials, if present, shall be entitled to half their fee plus expenses. Where a Competition Match is not played owing to one Club being in default, that Club shall be ordered to pay the Match Officials, if they attend the Ground, their full fee and expenses.
- U7/U8: £15
- U9/U10: £20
- U11/U12: £25
- U13/U14: £30
- U15/U16: £35
- U17/U18: £40
- Double Header (U12): £35
- Double Header (U13/U14): £40
- Double Header (U15/U16): £45
- Double Header (U18): £50
DOWNLOADS
The latest sanctioned EEYFL rules, Codes of Conduct and other useful downloads.
DATES
List of services
-
20 August 2025List Item 1
League Management Committee meeting
-
28 August 2025List Item 2
Full League Council meeting
-
6 September 2025List Item 3
Start of playing season
-
16 October 2025List Item 4
League Management Committee meeting
-
20 December 2025
Last round of fixtures prior to Christmas break
-
8 January 2026
League Management Committee meeting
-
10 January 2026
Fixtures restart
-
12 March 2026
League Management Committee meeting
-
21 March 2026
Girls' Cup Finals - Richmond & Kew FC
-
18 April 2026
Mini-Soccer Cup Finals - Old Coulsdon Colts FC
U16 Chairman's Cup Final - Dorking Wanderers FC
-
25 April 2026
U11-U13 Cup Finals - Caterham Pumas FC
U16 President's Cup Final - Dorking Wanderers FC
Last day of U7-U11 season
-
2 May 2026
Last day of U12-U18 season
U14 Cup Finals - Leatherhead Youth FC
U15 Cup Finals - South Park FC
U18 Cup Final - Dorking Wanderers FC
-
7 May 2026
League Management Committee meeting
-
9 May 2026
League Presenation Day - The Oak Room, Epsom Downs Racecourse
-
21 May 2026
AGM







